
この記事の執筆者

(Nsたーなー)
秋田大学卒。大病院で手術・麻酔・救急医療に従事した後、現在はプロクリニック所属。長年の経験と技術を活かし、「手術を通して患者様の美しさと健康を追求する」という信念のもと、日々全力で患者様と向き合う。
目次
【大規模調査】日本人は早漏と遅漏どっちが多いのでしょうか?―ライブ配信から読み解く男の悩みとは
こんにちは。Nsたーなーです。今日では、多くの男性が「早漏(性交の持続時間)」に悩んでいますが、その原因や改善策は人それぞれ。自分に合った対策を見つけることが、解決への一番の近道です。
しかし、現実はそう簡単ではありません。
- 「何から始めればいいかわからない」
- 「誰に相談すべきか不明」
- 「ネット上の情報がバラバラで、どれを信じればいいか迷う」
このように、一人で抱え込んでしまう方が多いのが実情です。 中には「数百円で治る」といった安易な広告も溢れており、真剣に悩んでいる方にとって、正しい情報にたどり着くのが難しい不親切な状況といえます。
また、今回は当院のyoutubeチャンネル「にへい日記」でのライブ配信においてアンケートをもとにした記事をご紹介いたします。おかげさまで日々チャンネル登録者数も増えており、毎日欠かさずライブ配信を行なっております。同時接続者数も爆発的に増える中、貴重な機会を利用して最近ではアンケート機能を利用し多くの男性視聴者の情報を収集しております。今日はその中から気になった話題について掘り下げていき、実際世の中の男性の悩みや置かれている状況について解説していきます。
この記事では、その結果をもとに、
“皆が早漏改善で何を重視したか”
“改善後にどんな変化があったか”
“どこで情報を集めたか”
“医療機関の満足度はどうか”
などを紹介します。それでは本日も最後までよろしくお願いいたします。
1、まずは統計学のおさらい
統計学の視点:サンプルから「日本人男性の真実」を導く
日本人男性の傾向(AかBか)を分析する際、重要になるのが「サンプル数」の設計です。そこで鍵を握るのが「精度」と「信頼度」という2つの要素。大学時代の研究を思い出す方もいるかもしれませんが、この数値を決めることが分析の第一歩となります。
例えば、日本人男性の総数を約6,000万人と想定しましょう。 膨大な母集団を相手にする場合、統計学では「正規分布」というモデルを使い、一部のデータから全体像をあぶり出します。そして、そのデータが本当に信頼に足りるものなのかを、「z検定」という手法で厳密にチェックしていきます。
数学的な細部については最小限に留めますが、大切なのは「得られた回答が、どれだけ日本全体を代表しているか」という点です。次章では、実際に皆さんの回答を元に数値を算出してみましょう。
2、実際に統計を用いて日本人男性の属性を算出
今回のテーマは、「あなたは早漏ですか?遅漏ですか?」です。回答総数は3,539人でした。

このライブでのアンケートからは、早漏67%、遅漏33%と分かります。さて、この結果は日本人男性全体にも当てはまるかを検証していきましょう。
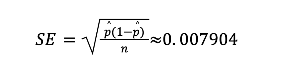
まず、母集団を6,000,000人、サンプルn=3,539人、観測比率(早漏)A=67%とします。
● サンプル比率 p=0.67(=67%)
● 標本標準誤差(SE)

● 95% 信頼区間(z=1.96)(通常よく使うもの) p±1.96⋅SE⇒(0.65451, 0.68549)
→ 約 65.45% 〜 68.55%(幅:約 ±1.55 ポイント)
● 99% 信頼区間(z≈2.5758) 0.69036 これには約8,494人の回答が必要
→ 約 64.96% 〜 69.04%(幅:約 ±2.04 ポイント)=ほぼ95%信頼度と同等また、有限母集団補正では、日本人男性を60,000,000人と膨大ですのでほぼ1と考えられ、補正は無視できます。つまり、上の信頼区間はそのまま母集団比率の推定に適用できます。=今回のアンケート結果がより信頼性のあるものと言えます。
●アンケート結果:今回の調査結果は、日本人男性全体の傾向をほぼ正確に反映していると言えます。
当院のYouTubeライブで実施したアンケート結果を統計的に分析したところ、リスナーの皆様の回答は、日本人男性全体(約6,000万人)の比率と極めて近い数値であることが判明しました。
■ アンケート結果の統計的推計(信頼度95%)
- 回答A(67%)の場合: 日本人男性全体でも、65.5% 〜 68.6% の範囲に収まる可能性が高い(誤差わずか ±1.55%)。
- 回答B(33%)の場合: 日本人男性全体では、31.45% 〜 34.55% の範囲に収まると推定されます。
■ 調査の有益性について より100%に近い確実性を求めるには、さらに約5,000人の追加回答が必要となりますが、一度のライブ配信でこれほど多くの男性から真実味のある回答が得られる調査は極めて稀です。今回のデータは、日本人男性の実態を知る上で非常に有益で、信頼性の高い調査結果であると断言できます。
3、日本人男性の約7割が「早漏」を自覚。3,500人の生の声から見えた真実と、改善への道筋
今回のアンケートでは、YouTubeライブのリスナー3,539名を対象に「早漏か、それとも遅漏か」という、非常にデリケートかつ切実なテーマについて回答をいただきました。その結果、「日本人男性の約7割が早漏、3割が遅漏」という、現代男性のリアルな自覚症状が浮き彫りとなりました。
そもそも早漏とは、「膣内挿入後から射精まで」=性交時間が3分未満を指すことが多いです。
世界平均:約5.4分 (※2005年・国際性医学会データ)だと知られています。これより短いと早め、長いと遅めと言ってもよろしいでしょう。
①改善に踏み切るきっかけと、慎重なクリニック選び
多くの男性が性行為の改善において最も重視しているのは、単なる「時間の延長」だけではありません。行為時の感度、見た目の仕上がり、そして副作用のリスクや効果が出るまでのスピードなど、多角的な視点で治療を検討しています。
特に医療機関を選ぶ際には、「施術で後悔したくない」「実績のある医師に任せたい」という慎重な姿勢が目立ちます。また、興味深いことに「パートナーからの勧め」で相談を決意するケースも増えており、性生活の悩みをカップルで解決しようとする前向きな変化も見受けられました。
②「コスト」と「効果」のシビアな関係
気になる改善費用については、40〜60万円、次いで10〜30万円という価格帯が一般的です。具体的な内容としては、硬いヒアルロン酸の注入や、裏筋形成を伴う包茎手術をセットで行うことが、早漏改善に最も寄与しているという実感を多くの方が抱いています。ここで特筆すべきは、「医学的アプローチ」と「民間療法」の決定的な満足度の差です。市販のアイテムや独自のトレーニング(チントレ等)に励んでいる方の中には、「意味がなかった」「思うような効果が得られなかった」「時間の無駄だった」と落胆するケースが少なくありません。一方、初期費用は「少し負担」と感じつつも、実際に医療機関で治療を受けた方の多くは、「一度受ければ一生もの。性生活が劇的に改善したことを考えれば、費用対効果は非常に高い」と、その投資価値を高く評価しています。
③「早く、確実に」を求める背景にある切実な願い
治療を決断するまでの期間は、驚くほど短期間(1週間〜1ヶ月未満)に集中しています。これは、治療に伴う「性行為の自粛期間」を少しでも短くしたいという思いに加え、「一刻も早く、女性を満足させられる男として自信を取り戻したい」という、男性としての切実なプライドと向き合う姿が伺えます。
しかし、その決断を阻むのが「情報の錯綜」です。ネット上には根拠不明な改善法や、安価を謳って高額な施術へ誘導する広告が溢れており、「ぼったくられるか不安」「どれが自分に合う方法なのか分からない」「恥ずかしくて誰にも相談できない」と、一人で迷路に迷い込んでしまう方が後を絶ちません。
4、情報の集め方に関するアンケート
・情報はどこで集めたか?
最も多かったのは、意外にも「検索でのネットの口コミ・ブログ」でした。次いで「YouTubeチャンネル」、そして「クリニックの公式サイト」の順に多かったです。実は「友人に相談した」「家族に相談した」はわずかで、早漏というテーマのデリケートさは如実に現れています。なかなかこのようなことは親しい中でも相談しにくい話になりますし、治療を検討していることも知られたくない方もいるかと思います。
・SNSは利用して調べましたか?
実は「SNSは使わない」と圧倒的多数を占めていた。ただし使った層は以下を活用されていた:
Instagramの体験談
Xでの専門医アカウント
Reddit(英語圏の情報)※外国籍患者の場合
特徴は “目的を絞った検索” をしていることでした。美容外科の中でも男性器形成クリニックでは症例や医師の情報を開示しているところは圧倒的少数です。特に当院は美しく豊富な症例や担当医の経歴をオープンに開示しており、そちらも評価されています。
・パートナーに聞いた!改善して良かったところ
改善して良かった点
1位:「満足度が上がった」「長い時間過ごせるようになった」
2位:「男性が自信を持つようになった」「清潔感の向上」
3位:「性生活が安定した」「もっと好きになった」など
このように男性本人だけでなく、パートナー側の幸福度が大きく上がる結果となりました。
・改善後、男性に変化はあった?
1位:「自信がついた」「堂々とできる」
2位:「性行為が積極的になった」「萎えることが少なくなった」
3位:「コミュニケーションが増えた」「異性に前向きになれた」
早漏改善は、性的満足だけでなく、パートナーシップ全体の改善につながることも示唆されました。
5、男性に聞いた改善に関するアンケート
・改善を始めた理由は?
「パートナーに申し訳ない」
「挿入後すぐ射精してしまうのを改善したい」
「自分の満足感が低い」
「性行為を避ける回数が増えた」
「新しいパートナーとの性行為の前に不安を解消したい」
「悪徳クリニック広告を見てしっかりした治療を選びたい」
など理由は多岐にわたりますが、「性生活の悩みが日常生活に影響していた」という声が圧倒的に多かったです。
・改善して良かったところ
「射精をある程度コントロールできるようになった」
「性行為での緊張が減った」
「パートナーが満足してくれた」
「自分にも自信が生まれた」
「性欲が戻った」
「早く終わることへの不安が消えた」
「避けていた性行為が楽しめるようになった」
「勃起の持続力も向上した」
「達成感がある性生活を送れるようになった」
6、パートナーとの関係性と早漏改善
『性の相談ができるか?』
『治療経過の進捗を共有していたか?』
『性行為での雰囲気は良くなったか?』
これらの質問では、「相談できる異性関係での男性は改善効果が高い傾向がある」ということが示唆されました。つまり、男性一人で抱え込まず、パートナーに相談できる関係性においては早漏治療での満足度も高いと言えるでしょう。
・将来像と性生活多くの男性が、「今後も良い性生活を維持したい」と回答しており、そのための手段として「パートナーとの関係維持」「定期的な医療的メンテナンス」が特に重視されています。
7、まとめ
アンケートから浮き彫りになったのは、早漏改善は「安全性・効果・相談のしやすさ」を重視して選ばれているという点。そして、「性生活の満足度」「パートナーとの関係」「自己肯定感」が大きく改善することも明らかになりました。さらに、ヒアルロン酸注入や包茎治療(医療的アプローチ)は、満足度・再現性ともに非常に高いということが見受けられました。
当院では男性器形成治療に対して施術内容や価格、執刀医を明示し、症例も参考になるようにHP等で公開しています。昨今の不信感の強い広告が氾濫している中で、私たちは高品質な男性器形成を提供し、少しでも悩んでいる方の助けになりたいと願っています。現在お悩みの方、将来的に治療を
行いたい方、他院と比較したい方などお気軽にお問い合わせください。
今回は以上です。最後までお読みいただきありがとうございました。

現在クリスマスキャンペーン2025開催中です!
【豊富な包茎治療の症例はこちら】
【大人気の亀頭増大術の症例はこちら】
当院のプレスリリース記事はこちら
では、本日は以上となります。最後までお読みいただきありがとうございました。
この記事の監修医師

(プロクリニック銀座院長)
慶應義塾大学医学部卒 / 日本形成外科学会認定 形成外科専門医 / 日本美容外科学会(JSAPS)正会員 / JSAN設立者・理事
当院は大手包茎クリニックに負けない技術力と
傷跡のスペシャリストが在籍しており、当院は
形成外科専門医 柚﨑医師の下日々努力を重ね、
尽力し患者様に安心して手術を受けられるようにしております。
また、形成外科専門医は傷跡のスペシャリストです。
包茎治療や傷跡等でお悩みの方は、プロクリニックまで!
何か不安や質問がある方は LINE 追加から「ぷろたんに相談する」でご相談ください。
↓ ご予約・無料カウンセリングはこちら ↓ 













